首页
关于我们
公司简介
董事长致辞
企业文化
思健荣誉
国家海洋中试平台
蜂主题科技馆
新闻资讯
思健新闻
行业动态
视频资讯
最新公告
联系我们
联系方式
在线留言
人才招聘
首页
关于我们
公司简介
董事长致辞
企业文化
思健荣誉
国家海洋中试平台
蜂主题科技馆
新闻资讯
思健新闻
行业动态
视频资讯
最新公告
联系我们
联系方式
在线留言
人才招聘
新闻资讯
news
思健新闻
行业动态
视频资讯
最新公告
当前位置:
首页
>
新闻资讯
>
思健新闻
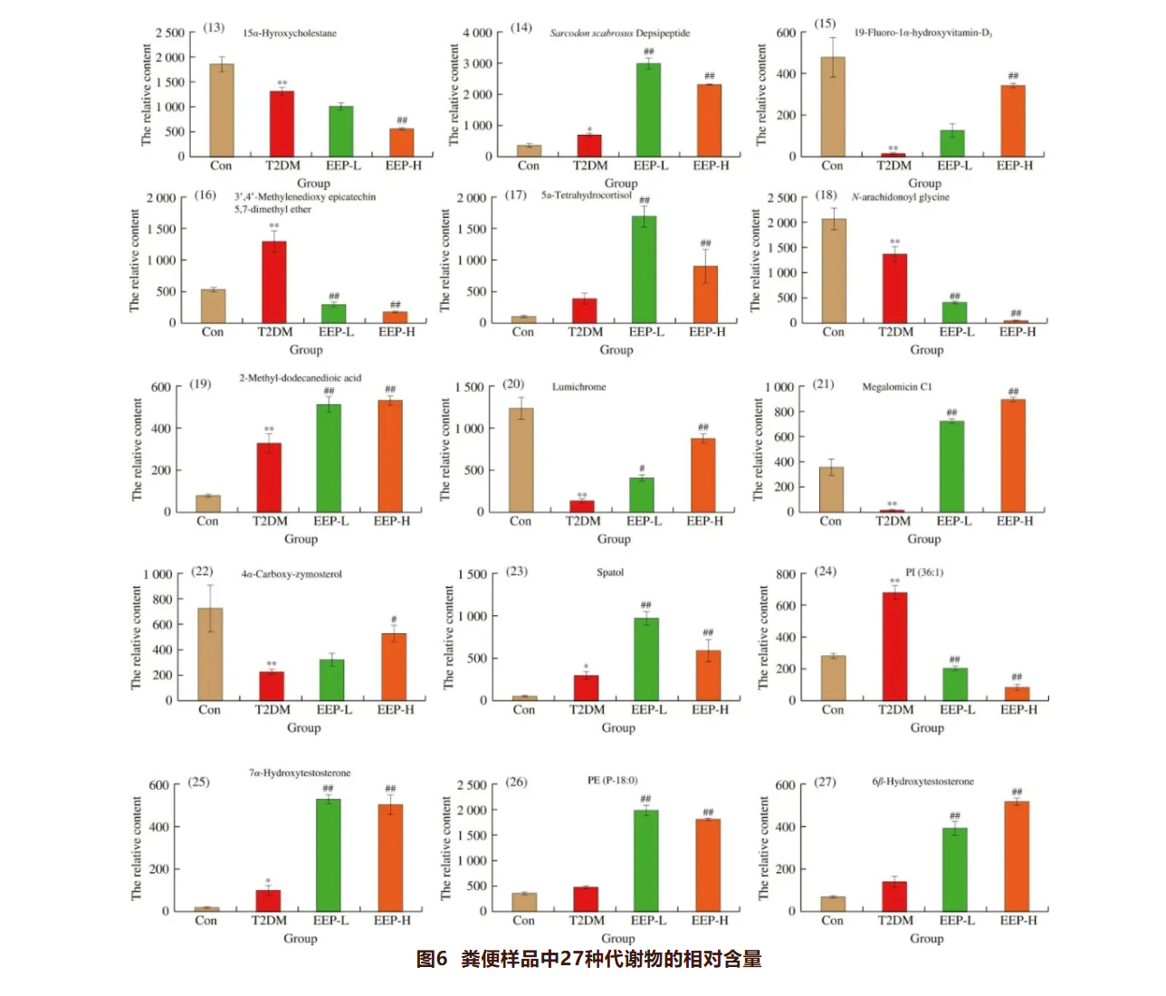
【科研速递】蜂胶乙醇提取物如何“修复”糖尿病?粪便代谢组学揭开关键机制!
时间:2026-02-09
来源:本站原创
浏览:406
上一篇
返回列表
下一篇
相关资讯
生科调研 · 赋能创新 | 思健生物科技本周要闻
2026-04-16
溯源笔记 | 10万级GMP车间:见证思健蜂胶精品的诞生
2026-04-15
溯源笔记 | 以科研筑基:思健生物科技,用“标准”定义行业高度
2026-04-15
0592-5893688 5892903
sijiankeji@qq.com
海沧区翁角西路2018号厦门生物医药产业园A10号楼思健生物科技
关于我们
公司简介
企业文化
思健荣誉
国家海洋中试平台
新闻资讯
思健新闻
行业动态
视频资讯
最新公告
联系我们
联系方式
在线留言
人才招聘
常见问题
资料下载
Copyright 2024-2025 厦门思健生物科技有限公司
闽ICP备13005785号
闽公网安备 35020502000174号
技术支持:蓝色港湾